0 236 357 10 84
info@saruhanli.bel.tr
BORÇ ÖDEME / E-BELEDİYE
BAŞKAN
Başkan’ın Özgeçmişi
Görev ve Yetkileri
Başkan'dan Mesaj
Başkan'ın Fotoğrafları
Başkan'a Mesaj
KURUMSAL
Bld. Bşk. Yardımcıları
Belediye Meclis Üyeleri
Müdürlükler
Misyon / Vizyon
Teşkilat Şeması
Faaliyet Raporu
Yönetim İlkeleri
Hizmet Standartları
Stratejik Plan
Kurumsal Kimlik
E-Mail Sistemi
KVKK
Yönetmelikler
2025 Performans Programı
SARUHANLI
Saruhanlının Tarihçesi
Mahallelerimiz
Muhtarlarımız
Belediyemizin Tarihçesi
Genel Bilgiler
Nüfus
İlçe Haritası
Saruhanlı Fotoğrafları
Belediye Logosu
Önemli Telefonlar
İlçe Protokolü
Eski B. Başkanlarımız
İlçemizin Manileri
BİLGİ HİZMETLERİ
Saruhanlı Kent Rehberi
Ulusal Kent Rehberi
Bağlantılar
Bilgi Edinme Kanunu
Genelge
Yönetmelik
Etik Kurul
İmza Yetkileri Yönergesi
İç Kontrol Eylem Planı
HİZMET REHBERİ
Vergi Takvimi
Nikah İşlemleri
Emlak Bina Beyan Formu
Emlak Arsa Beyan Formu
Emlak Arazi Beyan Formu
İlan Reklam Beyan Formu
Çevre Temizlik Beyan Formu
Ceza İndirim Formu
İmar Proje Tadilatı için İstenilen Evraklar
İmar Yenileme Ruhsatı için İstenilen Evraklar
İmar Durumu Müracatında İstenilen Evraklar
Yeni İnşaat Ruhsatı Almak için İstenilen Evraklar
İşyeri Açma ve Çalışma Ruhsatı için İstenilen Evraklar
Asker Ailelerine Yapılan Yardımlar için İstenilen Evraklar
Banka ve Posta Hesap Numaraları
İLETİŞİM
İHALELERİMİZ
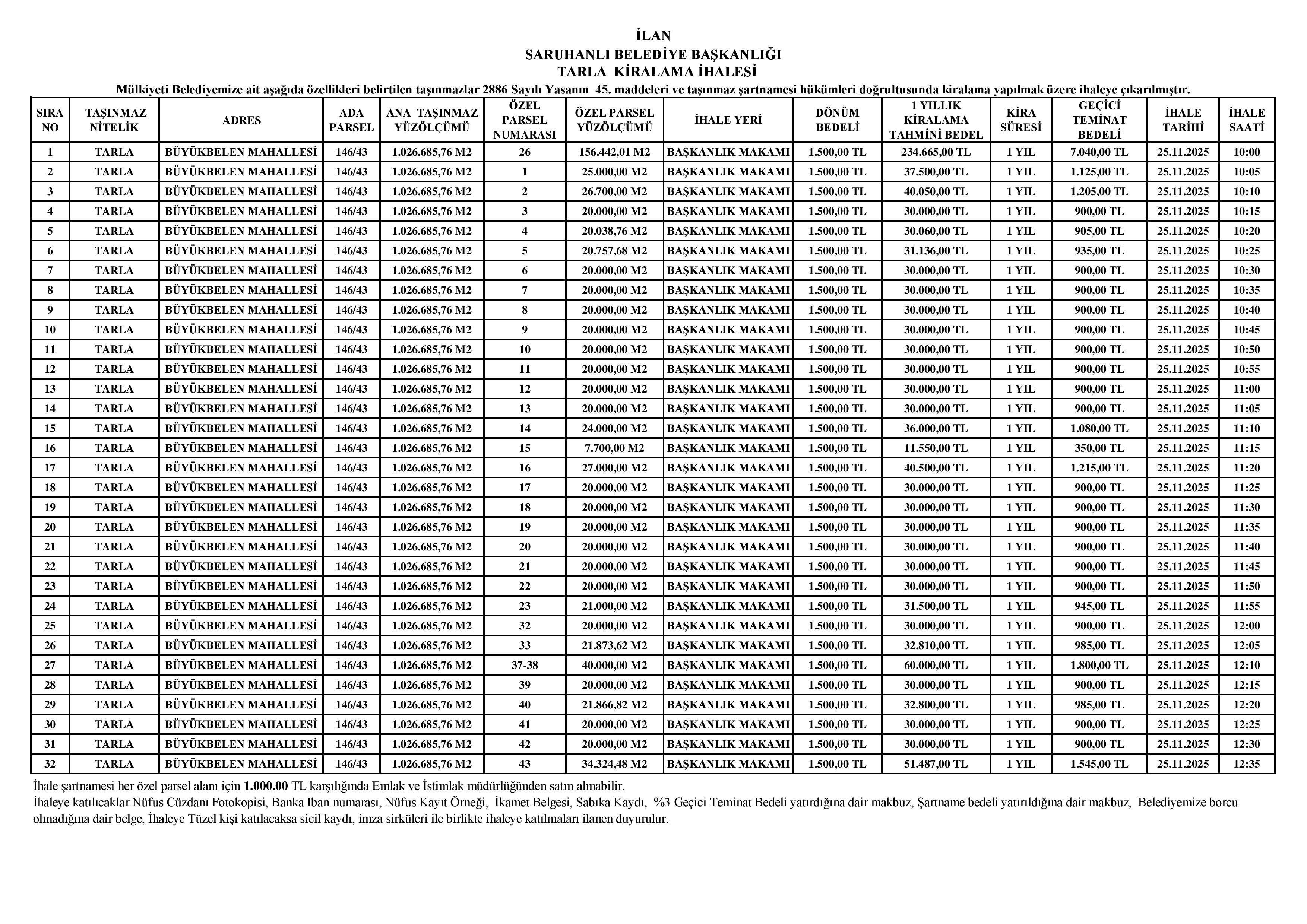
TARLA KİRALAMA İHALESİ